Andermatt - Disentis: Auf den Spuren der verspäteten Züge der MGB

Antworten
Nüllischnee
Beiträge: 279
Registriert: 25.11.2023, 15:56
Skitage 20/21: 112
Skitage 21/22: 61
Skitage 22/23: 41
Skitage 23/24: 137
Skitage 24/25: 61
Skitage 25/26: 50
Fahrertyp: Alpinski
Wohnort: Bern
Land: Schweiz
Hat sich bedankt: 17 Mal
Danksagung erhalten: 847 Mal

Andermatt - Disentis: Auf den Spuren der verspäteten Züge der MGB

Beitrag von Nüllischnee »

Andermatt - Disentis: Auf den Spuren der verspäteten Züge der MGB
Die Verspätungen der Matterhorn Gotthard Bahn (MGB) auf der Strecke Andermatt - Oberalppass - Sedrun - Disentis waren in diesem Forum schon verschiedentlich ein Thema. Die Strecke ist zwar landschaftlich sehr schön, aber mit dem heutigen Fahrplan offensichtlich auch ziemlich verspätungsanfällig. Und ski-chrigel hat per Mail (siehe viewtopic.php?p=7210#p7210) auch schon ausführlich erklärt bekommen, warum die Pünktlichkeit so schlecht ist und warum sie sich auch nicht verbessern wird. Wie treffend die Erklärungen sind, lasse ich an dieser Stelle mal offen…

Aber sind denn die Züge über den Oberalppass wirklich so unzuverlässig? Dank Open Data sind auch im Bereich des öffentlichen Verkehrs immer mehr Daten frei zugänglich, so auch die Ist-Daten der meisten Transportunternehmen in der Schweiz, abrufbar unter https://opentransportdata.swiss/. Perfekte Voraussetzungen also, um diese Daten mal zu analysieren.

Ausgangslage
Uns interessiert bekanntlich insbesondere die Pünktlichkeit während der Skisaison. Die nachfolgenden Analysen umfassen daher den Zeitraum vom Sonntag, 10. Dezember 2023 (Fahrplanwechsel) bis Sonntag, 14. April 2024 (Saisonende Gemsstock). Für die überwiegende Mehrheit der Verbindungen liegen Ist-Daten vor. Vereinzelt dürfte es unplausible Werte geben, aber in dieser grossen Datenmenge erachten wir diese vorerst einmal als vernachlässigbar. Für folgende Verbindungen liegen keine Echtzeitdaten vor und fliessen daher nicht in die Analysen ein:
  • 23. Dezember 2023 (alle Verbindungen Disentis - Andermatt)
  • 4. Februar 2024 (Züge 827, 835, 839, 843 und 847 Disentis - Andermatt, Züge 828, 832, 836, 840, 844 und 848 Andermatt - Disentis)
  • 31. März 2024 (alle Verbindungen Disentis - Andermatt)
  • 1. April 2024 (Züge 815 und 819 Disentis - Andermatt)
Die Strecke ist im Winter nicht besonders stark befahren. Es verkehren lediglich 13 Zugspaare im Regionalverkehr, d.h. im Stundentakt. Hinzu kommen 1-2 Zugspaare des zuschlagspflichtigen GlacierExpress. Untersucht habe ich aber nur die Pünktlichkeit im Regionalverkehr.

Um die Analysen auf ein vernünftiges (und in meiner Freizeit v.a. realistisches) Mass zu begrenzen, berücksichtigen die Pünktlichkeitsstatistiken nur die Pünktlichkeit bei der Ankunft in Andermatt (von Disentis) bzw. in Disentis (von Andermatt). Dort bestehen Anschlüsse auf andere Linien, daher ist die Pünktlichkeit dort besonders wichtig. Ich bin mir bewusst, dass für Skigebietswechsel auch die Pünktlichkeit an anderen Bahnhöfen wichtig sein kann.

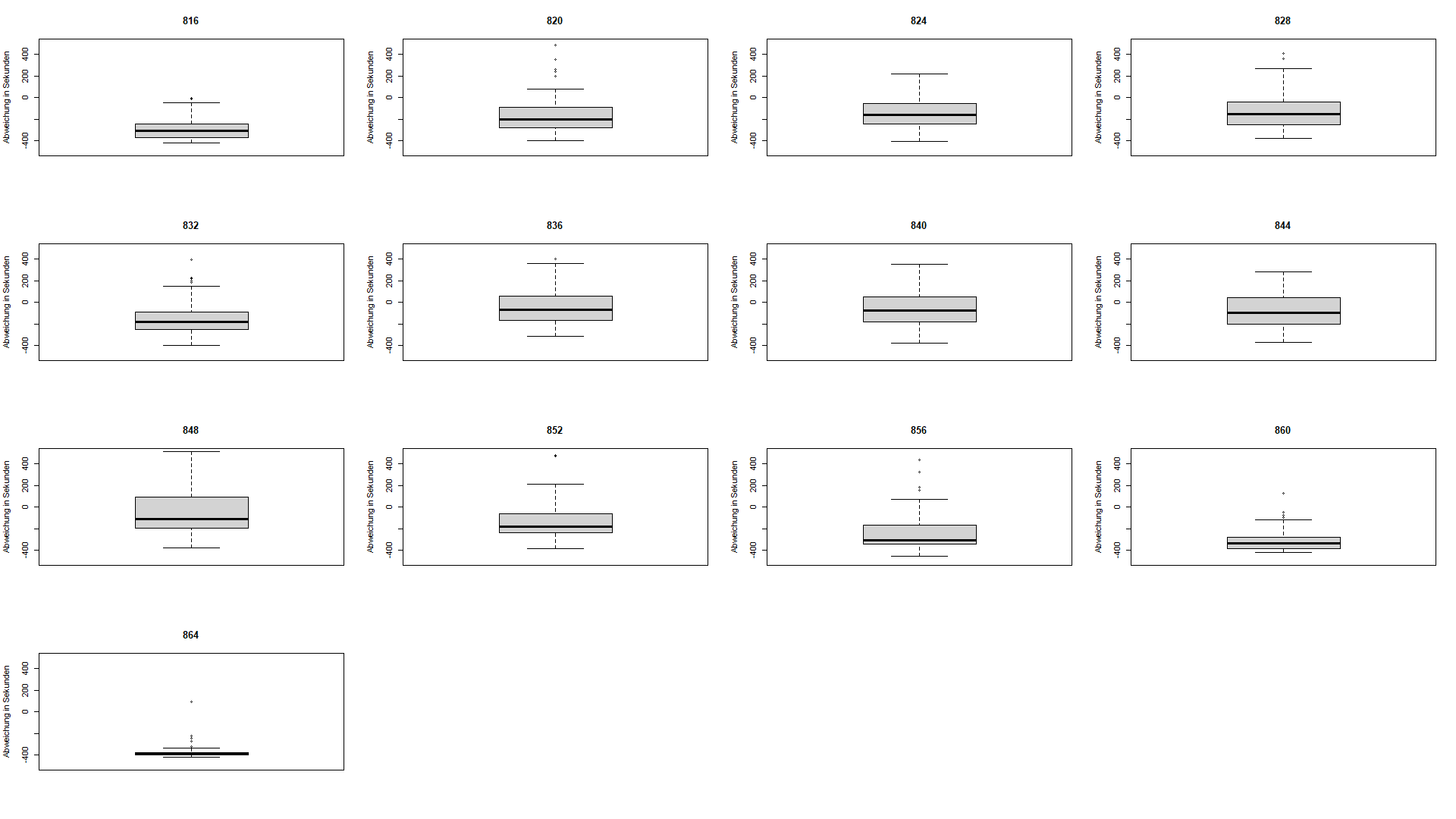
Pünktlichkeit in Andermatt
Um gar nicht erst Spannung aufkommen zu lassen: Die Züge vom Oberalppass treffen im Median 3.7 Minuten zu früh in Andermatt ein. Eine einzige Zahl kann die Pünktlichkeit natürlich nicht ausreichend beschreiben. Es trifft zwar zu, dass der erste Zug morgens und die letzten beiden Züge abends sehr pünktlich unterwegs sind und im Median 7-9 Minuten zu früh in Andermatt eintreffen. Nimmt man den Median als relevantes Mass ist der Zug 843 mit Ankunft um 15:22 Uhr der «unpünktlichste», er trifft nur 2.1 Minuten zu früh in der Andermatt ein.
Boxplots zur Abweichung der Ankunftszeit in Andermatt für die 13 Regionalzüge
Boxplots zur Abweichung der Ankunftszeit in Andermatt für die 13 Regionalzüge
In der Verkehrsplanung (in der Schweiz) ist aber häufiger das 84%-Quantil oder gar das 95%-Quantil relevant, wenn es um Pünktlichkeitsdaten geht. Beim 84%-Quantil sind nur noch die jeweils die ersten und letzten drei Züge zu früh in Andermatt. Aber abgesehen vom Zug 839 (Ankunft in Andermatt um 14:22 Uhr) treffen jeweils 84% der Züge mit maximal einer Minute Verspätung in Andermatt ein. Bei besagtem Zug 839 sind es 2.4 Minuten Verspätung.
Sind wir nun ganz streng und nehmen das 95%-Quantil zur Hand, treffen nur noch die ersten und letzten beiden Züge zu früh in Andermatt ein. Tagsüber schiessen die Verspätungen in die Höhe, sodass wiederum bei Zug 839 95% der Züge mit maximal 6.6 Minuten Verspätung eintreffen. Das ist für eine Bahnlinie, welche nicht im Strassenverkehr stecken bleiben kann, schon nicht gerade wenig.
Histogramm zur Abweichung der Ankunftszeit von Zug 839 (rot = Verspätung)
Histogramm zur Abweichung der Ankunftszeit von Zug 839 (rot = Verspätung)
Fazit: Bei der Ankunftspünktlichkeit in der Andermatt fällt noch nicht besonders viel auf, die Pünktlichkeit ist zwar nicht überragend, aber auch nicht unterirdisch tief. Der verspätungsanfälligste Zug 839 (Andermatt an 14:22 Uhr) traf über die ganze Wintersaison gesehen «nur» bei 12.9% der Fahrten mit einer Verspätung >3 Minuten* ein.

* In der Schweiz gelten Züge/Busse in der Regel ab 3 Minuten als verspätet.

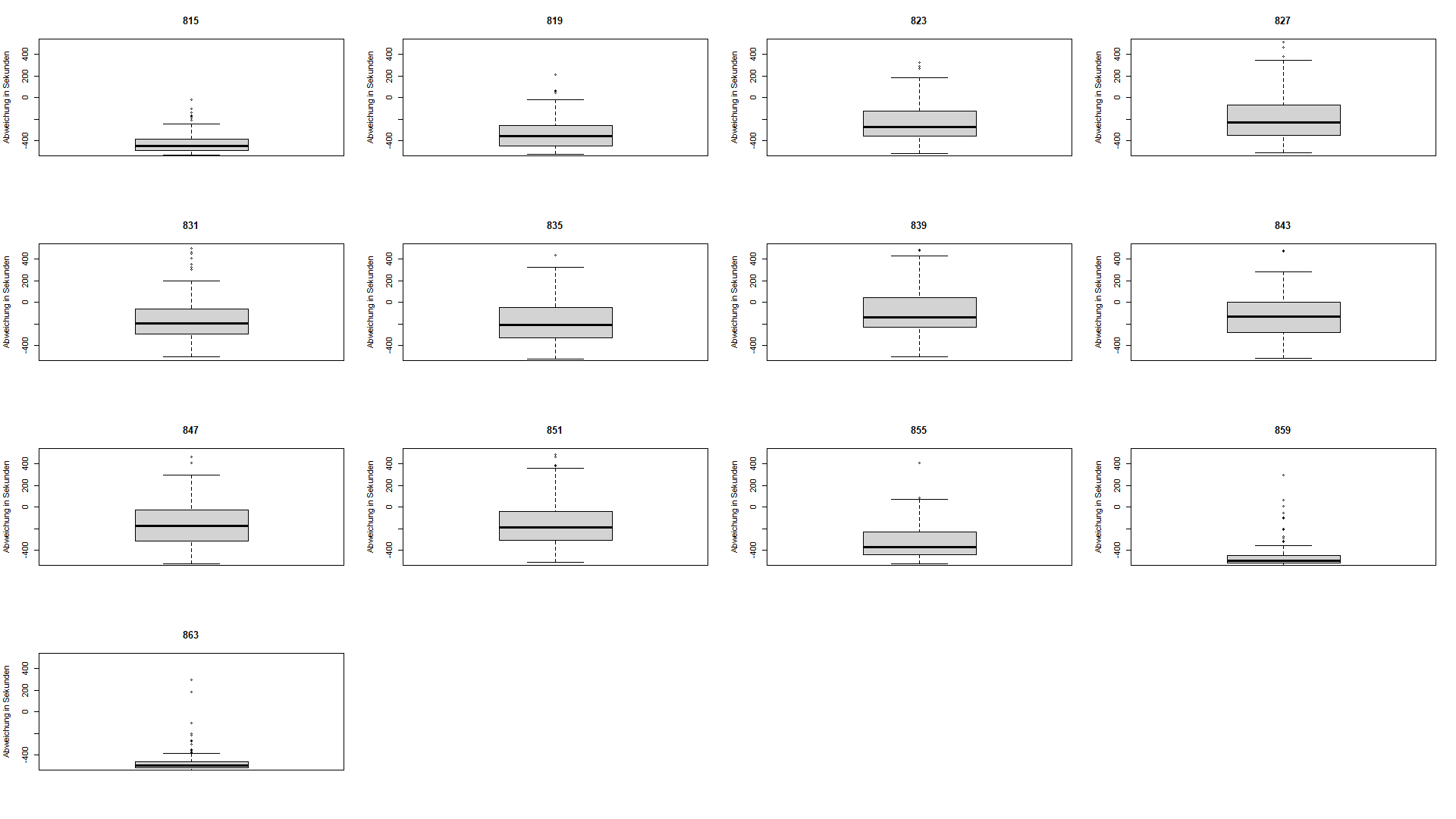
Pünktlichkeit in Disentis
Besteht denn am anderen Ende der Linie ein Pünktlichkeitsproblem? Nein, zumindest wenn man der Medianverspätung Glauben schenkt. Auch in Disentis treffen die Züge durchschnittlich 3 Minuten zu früh ein. Auch hier treffen der erste Zug morgens sowie die letzten drei Züge am Abend rund 5-7 Minuten zu früh in Andermatt ein. Der, gemäss Median, unpünktlichste Zug 836 (Ankunft in Disentis um 13:39 Uhr) trifft jeweils 1.1 Minuten zu früh ein.
Boxplots zur Abweichung der Ankunftszeit in Disentis für die 13 Regionalzüge
Boxplots zur Abweichung der Ankunftszeit in Disentis für die 13 Regionalzüge
Beim 84%-Quantil ist die Pünktlichkeit logischerweise wieder etwas schlechter. Auffallend ist, dass bei den Zügen von 13-17 Uhr das 84%-Quantil bei jeweils 2-3 Minuten Verspätung liegt, also doch etwas schlechter als auf Seite Andermatt. Beim 95%-Quantil gibt es keine Überraschungen, am verspätungsanfälligsten ist weiterhin der Zug 836, bei welchem aber doch immerhin 95% der Fahrten mit maximal 5 Minuten Verspätung in Disentis enden. Die Schwankungen fallen also geringer aus als in Andermatt.
Abbildung:
Histogramm zur Abweichung der Ankunftszeit von Zug 836 (rot = Verspätung)
Histogramm zur Abweichung der Ankunftszeit von Zug 836 (rot = Verspätung)
Fazit: Auch die Ankunftspünktlichkeit in Disentis ist nicht besonders aussergewöhnlich. Der perrongleiche Anschluss nach Chur (Umsteigezeit: 5 Minuten) dürfte mehrheitlich problemlos funktionieren. Der verspätungsanfälligste Zug 836 (Disentis an 13:39 Uhr) traf über die ganze Wintersaison gesehen «nur» bei 13.5% der Fahrten mit einer Verspätung >3 Minuten Disentis ein.

Ausblick
Noch sind wir dem Problem nicht auf die Spur gekommen. Aber ohne das Geheimnis schon ganz zu lösen: Ein Blick auf die durchschnittlichen Ist-Fahrzeiten, den heutigen Fahrplan und die vorhandenen Kreuzungsstellen zeigen die Probleme ziemlich gut auf. Auch eine mögliche, einfach umsetzbare Lösung scheint sich abzuzeichnen. Mehr dazu dann in den nächsten Tagen.

PS: Ich hoffe, der Text war halbwegs leserlich und verständlich. Wenn sich Fragen ergeben haben, gerne stellen.
Folgende Benutzer bedankten sich beim Autor Nüllischnee für den Beitrag (Insgesamt 4):
hitparadeWurstiTheoZahnstocherbahn
Winter 2024/25: 61 Skitage (10×Andermatt-Sedrun, 8×Saas-Fee, je 5×Adelboden-Lenk, Flumserberg, je 3×Pizol, Paradiski, Lauchernalp, 4 Vallées, je 2×Gurgl, Zermatt, Disentis, Engelberg, Unterbäch-Eischoll, La Rosière/La Thuile, Villars-Les Diablerets, Arosa-Lenzerheide, je 1×Sölden, Grimentz-Zinal, Moosalp, Visperterminen, Saas-Almagell, Leukerbad, St-Luc/Chandolin, Glacier 3000, Davos-Klosters)
Winter 2023/24: 137 Skitage, Winter 2022/23: 41 Skitage; Winter 2021/22: 61 Skitage; Winter 2020/21: 112 Skitage
Benutzeravatar
Skitobi
Beiträge: 581
Registriert: 25.11.2023, 16:11
Skitage 20/21: 0
Skitage 21/22: 0
Skitage 22/23: 0
Skitage 23/24: 0
Wohnort: Innsbruck
Hat sich bedankt: 1627 Mal
Danksagung erhalten: 1157 Mal

Re: Andermatt - Disentis: Auf den Spuren der verspäteten Züge der MGB

Beitrag von Skitobi »

Ich habe gerade mal zum Spaß die Verbindung Kufstein-Fulda im Regionalverkehr eingegeben, um zu schauen ob ich Teilstrecken davon mit dem Deutschlandticket fahre.
Eine einzige Suchabfrage und ich stolpere über das alles:

RE1 München-Nürnberg eingeschränkte Fahrzeugverfügbarkeit - Ausfall München-Ingolstadt.
RE 80/RE 16 Augsburg-Donauwörth Strecke komplett gesperrt, defektes Stellwerk (laut Arverio ist es eine Oberleitungsstörung) - Ersatz SEV.
RE 10 Nürnberg-Würzburg eingleisig wegen Unwetterschäden - RE fährt im SEV (das Unwetter war Anfang Juni!)
RE 55 Aschaffenburg-Hanau wegen kurzfristiger Personalenpässe von 01.07 bis 26.07. (=kurzfristig?) Verspätungen und Haltausfällen wegen Umleitungen mit Fahrtrichtungswechsel (meine mögliche Interpretation: Südteil Hanau Hbf gesperrt - Umleitung über Hanau-Wolfgang?). Außerdem fallen auf der Linie Zwischenhalte wegen einer nicht rechtzeitig vollendeten Baustelle aus.

Und das ist 100% in Schlechtleistung der DB, keine einzige geplante Baustelle!

Ne, da brauch ich echt nicht mit Regio anfangen. Mal schauen wie es mit dem ICE läuft...

Nüllischnee, Vielen Dank für deine ausführliche Analyse! Aber vielleicht versteht man ja, dass ich als Deutscher an ein paar Stellen fast lachen musste, nachdem hier so viel über diese Linie gelästert wird :lol:

Meine Highlights:
«unpünktlichste», er trifft nur 2.1 Minuten zu früh in der Andermatt ein.
[...]
95% der Züge mit maximal 6.6 Minuten Verspätung eintreffen. Das ist für eine Bahnlinie, welche nicht im Strassenverkehr stecken bleiben kann, schon nicht gerade wenig.
Bin gespannt auf deine Fortsetzung!
Folgende Benutzer bedankten sich beim Autor Skitobi für den Beitrag:
icedtea
Alle meine Berichte im Archiv
Benutzeravatar
icedtea
Beiträge: 2914
Registriert: 24.11.2023, 08:51
Skitage 20/21: 3
Skitage 21/22: 17
Skitage 22/23: 6
Skitage 23/24: 17
Skitage 24/25: 6
Skitage 25/26: 14
Fahrertyp: Alpinski
Wohnort: Flörsheim am Main
Land: Deutschland
Hat sich bedankt: 9625 Mal
Danksagung erhalten: 3231 Mal

Re: Andermatt - Disentis: Auf den Spuren der verspäteten Züge der MGB

Beitrag von icedtea »

Ein Träumchen in der Tat 🤣
Wo ich schon war:
➡️ Mein Challenge Profil
➡️Mein Sommer-Challenge-Profil
Als nächstes: Scuol
Benutzeravatar
sheridan
Beiträge: 2206
Registriert: 24.11.2023, 08:43
Skitage 20/21: 53
Skitage 21/22: 73
Skitage 22/23: 59
Skitage 23/24: 61
Skitage 24/25: 80
Skitage 25/26: 62
Fahrertyp: Snowboard
Wohnort: Im Unterland
Land: Schweiz
Hat sich bedankt: 1534 Mal
Danksagung erhalten: 5975 Mal

Re: Andermatt - Disentis: Auf den Spuren der verspäteten Züge der MGB

Beitrag von sheridan »

Ist das eine Api, über die du die Daten abgegriffen hast ? Wäre mal interessant, meine Besuchstage im Rückblick in einer GUI anzuschauen, die liegen allerdings auch noch weiter zurück als dein Set. Meine Erfahrungen beschränken sich nur auf wenige Fahrten, bei denen die Pünktlichkeit nicht so toll war. Ist natürlich eine minimale Sample Size. Aufgefallen ist mir der Effekt der Übertragung der Verspätung auf die Gegenseite. Z.B. Andermatt-Oberalp war pünktlich, muss aber wegen einem verspäteten Zug 10min am Oberalp warten. Wenn die Züge in Andermatt statistisch eher ankommen, dann haben die MGB dort "Spatzung" zum aufholen eingebaut. An der vorletzten Haltestelle dürfte der Zug ja nicht vor Fahrplan abfahren. Für Skifahrer sind die Streckenteile Sedrun-Dieni-Oberalp primär relevant.
25/26: Stelvio, Sölden, Kauni, Sulden, Schnalstal, Glacier 3000, Flumsi, Corvatsch, Pizol, Zermatt, Corviglia, Ischgl, Pitztaler-Rifflsee, See, Kappl, Hochoetz, Kühtai, Frutt, Thollon, Praz-de-Lys/Sommand, Le Grand Bornand, Auron, Riserva Bianca, Pila, Ybrig, Carezza, Catinaccio, Sellaronda, Marmolada, Latemar, Alpe Lusia, San Pellegrino, Folgaria, Alpe Cermis, Oclini, KitzSki, Mörlialp, Parsenn, Jakobshorn, Splügen, Pian Cales, Zuoz, Belalp, Vercorin, Visperterminen, Axalp, Cogne, Courmayeur, Antagnod, Monterosa, Braunwald, Métabief, Grimentz-Zinal, Saas-Allmagell/Fee, SkiBig3, Panorama, Calgary, Mt Blanc, Tremblant, Diavolezza-Lagalb
Nüllischnee
Beiträge: 279
Registriert: 25.11.2023, 15:56
Skitage 20/21: 112
Skitage 21/22: 61
Skitage 22/23: 41
Skitage 23/24: 137
Skitage 24/25: 61
Skitage 25/26: 50
Fahrertyp: Alpinski
Wohnort: Bern
Land: Schweiz
Hat sich bedankt: 17 Mal
Danksagung erhalten: 847 Mal

Re: Andermatt - Disentis: Auf den Spuren der verspäteten Züge der MGB

Beitrag von Nüllischnee »

Skitobi hat geschrieben: 25.07.2024, 23:17 Nüllischnee, Vielen Dank für deine ausführliche Analyse! Aber vielleicht versteht man ja, dass ich als Deutscher an ein paar Stellen fast lachen musste, nachdem hier so viel über diese Linie gelästert wird :lol:
Schlechter bzw. viel schlechter geht natürlich immer. ;)
sheridan hat geschrieben: 26.07.2024, 07:53 Ist das eine Api, über die du die Daten abgegriffen hast ?
Nein, ich habe mir nur die Daten für Dezember 2023 bis April 2024 heruntergeladen (geht immerhin monatsweise). Ich glaube, die Daten würden sich schon auch über eine API abgreifen lassen, das habe ich aber bislang noch nicht versucht.

Weiter geht es im Text…

Ist-Fahrzeiten
Die Opendata-Daten weisen jeweils eine Ist-Ankunfts- und Abfahrtszeit auf. Auf einer Strecke wie Andermatt - Disentis, wo die Kreuzungsstellen nahezu ausschliesslich in Bahnhöfen liegen, können damit ziemlich gut die Ist-Fahrzeiten berechnet werden. Im Gegensatz zu den meisten Buslinien sollte es sich hier bei der Abfahrtszeit um die effektive Abfahrtszeit handeln und nicht nur um eine geschätzte Abfahrtszeit. Zumindest sind die Abfahrtszeiten so attributiert.

Die Ist-Fahrzeiten (jeweils Medianwerte) in Fahrtrichtung Disentis - Andermatt liegen fast durchwegs tiefer als die Plan-Fahrzeiten. Das ist aber nur die halbe Wahrheit. Denn abgesehen vom Oberalppass (3 Minuten) sind die Haltezeiten ebenfalls in den Plan-Fahrzeiten enthalten. Und wie von sheridan richtig vermutet, besteht zwischen Nätschen und Andermatt ein grosszügiger Puffer, damit die Züge dann in Andermatt wieder pünktlich sind.
Fahrzeitvergleich_Disentis-Andermatt.png
Das Bild in der Gegenrichtung ist sehr ähnlich, auch hier der Verspätungspuffer direkt vor Disentis. Die Haltezeiten sind wiederum in den Plan-Fahrzeiten enthalten, auch hier hat einzig der Oberalppass eine dreiminütige Haltezeit im Fahrplan hinterlegt.
Fahrzeitvergleich_Andermatt-Disentis.png
Der Regionalverkehr kreuzt planmässig auf dem Oberalppass und bei der Kreuzungsstelle direkt westlich des Bahnhofs Mumpé Tujetsch. Die Züge verkehren bekanntlich im Stundentakt. Das bedeutet, dass die Fahrzeit (inkl. Haltezeiten) zwischen den beiden Kreuzungspunkten etwas kleiner als 60 Minuten sein sollte, damit der Betrieb stabil bleibt.

Nun muss ich einige Annahmen treffen:
  • Die Haltezeit in den Bahnhöfen Nätschen, Oberalppass, Dieni und Sedrun beträgt eine Minute.
  • Die Haltezeit in den übrigen Bahnhöfen beträgt 30 Sekunden.
  • Die Fahrzeit vom Bahnhof Mumpé Tujetsch bis zur westlich gelegenen Kreuzungsstelle beträgt 30 Sekunden.
Unter diesen Annahmen beträgt die Fahrzeit (inkl. Haltezeiten) Oberalppass - Kreuzungsstelle Mumpé Tujetsch 30.9 Minuten, in die Gegenrichtung sind es 27.8 Minuten. Die richtungsabhängigen Unterschiede kommen daher, dass Zahnradfahrzeuge in der Regel talwärts langsamer unterwegs sind als bergwärts. Zusammengezählt kommt man also auf 58.7 Minuten. Es bleiben also unter den getroffenen Annahmen nur gerade 1.3 Minuten Reserve, bevor sich die Verspätung gegenseitig hochschaukelt. Wer den Fahrgastwechsel an einem der gut genutzten Bahnhöfe selber schon einmal beobachtet hat, weiss auch, dass eine Minute Haltezeit ziemlich knapp bemessen ist. Für einen stabilen Betrieb dürften zwei Minuten für die grossen Bahnhöfe und eine Minute für die kleinen Bahnhöfe wohl zweckmässiger sein.

Zur Mittagszeit kommen dann zusätzlich noch 1-2 Glacier Express-Verbindungen je Richtung hinzu. In West-Ost-Richtung kreuzen diese in Nätschen und in Dieni die Regionalverkehrszüge, in Ost-West-Richtung in Tschamutt-Selva und Nätschen. Die Glacier Express unter sich kreuzen ebenfalls in Mumpé Tujetsch und auf dem Oberalppass. Generell macht es mir aber den Eindruck, dass die Glacier Express-Züge relativ entspannte Fahrzeiten haben, wodurch sie nicht wesentlich zur Aufschaukelung der Verspätung beitragen.

Fazit: Die Kreuzungsstellen Oberalppass und Mumpé Tujetsch liegen für einen stabilen Betrieb etwas zu weit auseinander. Dadurch werden bereits bei geringen Haltezeitüberschreitungen die Verspätungen jeweils auf die Gegenzüge übergeben, wodurch die Verspätungen im Laufe des Tages immer weiter zunehmen.

Lösungsidee
Für die Erarbeitung einer stabileren Situation legte ich vorgängig folgende Rahmenbedingungen fest:
  • Die Haltezeit in den Bahnhöfen Nätschen, Oberalppass, Dieni und Sedrun beträgt zwei Minuten.
  • Die Haltezeit in den übrigen Bahnhöfen beträgt eine Minute.
  • Die Fahrzeit vom Bahnhof Mumpé Tujetsch bis zur westlich gelegenen Kreuzungsstelle beträgt 30 Sekunden.
  • Die Übergangszeit zur RhB in Disentis soll mindestens fünf Minuten betragen, d.h. die Abfahrt der MGB erfolgt frühestens zur Minute 16, die Ankunft spätestens zur Minute 39.
  • An Kreuzungsstellen kann der Gegenzug abfahren, sobald der andere Zug eingetroffen ist.
Unter diesen Annahmen scheint mir der nachfolgende Fahrplan eine deutliche Verbesserung zu sein. Dargestellt sind jeweils die Ankunfts- und Abfahrtszeiten in Minuten und Sekunden.
Fahrplan_neu.png
Die Regionalzüge würden zukünftig in Tschamutt-Selva und Segnas kreuzen. Dem genauen Betrachter fällt auf, dass die Fahrzeit in Ost-West-Richtung zwischen Mumpé Tujetsch und Bugnei um 4:26 min gestreckt ist. Dies dient dazu, dass bei Verspätungen ab ca. 3 Minuten vom West-Ost-Zug die Kreuzung von Segnas nach Mumpé Tujetsch verlegt werden kann, sodass sich die Verspätungen nicht auf den Gegenzug übertragen. Durch die angepassten Kreuzungspunkte verlässt der Regionalzug Disentis neu zur Minute 16 (bislang Minute 14) und erreicht Andermatt zur Minute 26 (bislang Minute 22). Der Anschluss auf den R44 Richtung mit Abfahrt zur Minute 29 in Andermatt wird dadurch knapper, sollte aber aufgrund des stabileren Fahrplans weiterhin problemlos funktionieren. In der Gegenrichtung verlässt der Regionalzug Andermatt neu zur Minute 30 (bislang Minute 28) und trifft zur Minute 36 (bislang Minute 39) in Disentis ein. Die Gesamtfahrzeiten verlängern sich gegenüber heute also nicht. Ob eine Kurzwende in Andermatt möglich bleibt, wäre vertieft zu prüfen. Grundsätzlich wäre aber auch eine Durchbindung Richtung Brig denkbar, sobald ausreichend Orion-Triebzüge im Einsatz sind.

Der Glacier Express kann westlich von Andermatt und östlich von Disentis sein bisheriges Trassee behalten. Zwischen Andermatt und Disentis wird der Fahrplan leicht angepasst. Disentis verlässt er weiterhin zur Minute 37, kreuzt anschliessend in Dieni und Nätschen die Regionalzüge und trifft zur Minute 46 (bislang Minute 52) in Andermatt ein. In der Gegenrichtung verlässt der Glacier Express Andermatt neu bereits zur Minute 49 (bislang Minute 54), kreuzt auf dem Oberalppass und in Sedrun die Regionalzüge und trifft zur Minute 57 (bislang Minute 56) in Disentis ein. Die Eigenkreuzungen des Glacier Express finden in Tschamutt-Selva und Mumpé Tujetsch statt. Als positiver Nebeneffekt könnte der Glacier Express künftig in beide Richtungen planmässig auch in Sedrun halten.

Die Fahrzeiten (inkl. längeren Haltezeiten) zwischen den beiden Kreuzungsstellen Tschamutt-Selva und Segnas betragen 29.0 bzw. 28.2 Minuten, d.h. die Reserven sind selbst mit den längeren Haltezeiten grösser. Hinzu kommt die Möglichkeit der Kreuzungsverlegung von Segnas nach Mumpé Tujetsch, wodurch eine Übertragung von Verspätungen stark reduziert werden kann.

Fazit: Ehrlich gesagt bin ich ziemlich überrascht, dass sich anhand der mir vorliegenden Daten und der bestehenden Infrastruktur eine so gute Lösung finden lässt. Ich möchte nicht ausschliessen, dass ich in dieser kurzen Zeit und ohne Austausch mit der MGB etwas übersehen habe, aber zumindest auf den ersten und zweiten Blick scheint die Lösungsidee ein grosses Potenzial zur Verbesserung der heutigen Verspätungsanfälligkeit zu haben.
Winter 2024/25: 61 Skitage (10×Andermatt-Sedrun, 8×Saas-Fee, je 5×Adelboden-Lenk, Flumserberg, je 3×Pizol, Paradiski, Lauchernalp, 4 Vallées, je 2×Gurgl, Zermatt, Disentis, Engelberg, Unterbäch-Eischoll, La Rosière/La Thuile, Villars-Les Diablerets, Arosa-Lenzerheide, je 1×Sölden, Grimentz-Zinal, Moosalp, Visperterminen, Saas-Almagell, Leukerbad, St-Luc/Chandolin, Glacier 3000, Davos-Klosters)
Winter 2023/24: 137 Skitage, Winter 2022/23: 41 Skitage; Winter 2021/22: 61 Skitage; Winter 2020/21: 112 Skitage
Online
Benutzeravatar
ski-chrigel
Beiträge: 6242
Registriert: 23.11.2023, 23:37
Skitage 20/21: 150
Skitage 21/22: 140
Skitage 22/23: 122
Skitage 23/24: 125
Skitage 24/25: 132
Skitage 25/26: 116
Fahrertyp: Kombi
Wohnort: Emmetten
Land: Schweiz
Hat sich bedankt: 8010 Mal
Danksagung erhalten: 17418 Mal

Re: Andermatt - Disentis: Auf den Spuren der verspäteten Züge der MGB

Beitrag von ski-chrigel »

Wenn es so einfach wäre, wieso haben es die MGB nicht schon längst umgesetzt?

Dass zwischen Nätschen und Andermatt viel Puffer ist, hat mir die MGB mitgeteilt, aber das interessiert mich nicht. Am interessantesten sind die effektiven Verspätungen in Dieni und Sedrun. Und irgendwie passen die so überhaupt nicht zu Deiner Statistik. Oder ich bin einfach immer an den falschen Tagen dort.
2025/26:116Tg:26xKlewen,23xLaax,8xSölden,7xSella,6xIschgl,6xZ’matt,5xTux,4xA‘matt,3xTitlis,3xSiMo,2xEngadin,2xStubai,2xPitz,1xFrutt,1xKauni,1xGurgl,1xFee,1x3Zinnen,1xKronplatz,1xLatemarCermis,1xCarezza,1xPaganella,1xCampiglio,1xPejoTonale,1xBormio,1xLivigno,1xGargellen,1xGolm,1xArlberg,1xWipptal,1xJochtal,1xAirolo
2024/25:132Tg:22xLaax,21.5xKlewen,13xDolo,12xH’tux,11xA‘matt,9xZ’matt,3.5xIschgl,3xKauni,3xDavos,3xPitz,3xStelvio,3xTignes,2xSölden,2xALH,2xVals,2xPenken,2xStubai,1.5xNassfeld,1xPizol,1xGurgl,1xFee,1xSFL,1xOsttirol,1xSHLF,1xSkiwelt,1xNauders,1xÖtzKüh,1xPaganella,1xFrutt,0.5xScuol,0.5xM365,0.5xFlumsi,1xSkitour
2023/24:125 2022/23:121 2021/22:140 2020/21:150 2019/20:101 2018/19:129 2017/18:143 2016/17:127 2015/16:129 2014/15:121 2013/14:65 2012/13:48 2011/12:62 2010/11:83
➡️ Mein Challenge Profil
Benutzeravatar
Theo
Beiträge: 545
Registriert: 25.11.2023, 16:40
Skitage 20/21: 0
Skitage 21/22: 0
Skitage 22/23: 0
Skitage 23/24: 0
Fahrertyp: Alpinski
Wohnort: Zermatt
Land: Schweiz
Hat sich bedankt: 160 Mal
Danksagung erhalten: 833 Mal

Re: Andermatt - Disentis: Auf den Spuren der verspäteten Züge der MGB

Beitrag von Theo »

Eins vorweg, wenn die MGB alles so gut im Griff hätte wie derzeit den Busersatz-Betrieb gäbe es dieses Topic erst gar nicht.
Zu früh ankommende oder zu schnelle Züge sind jetzt auch nicht so das Problem, so lange es mit den kreuzungsstellen aufgeht.
Das Problem entsteht meist am Startbahnhof und wenn der hier oben schon mal 3 min zu spät losfährt dann muss schon bei der ersten Kreuzungsstelle der entgegenkommende warten und der auf der zweiten gleich nochmals und dann kommt erst der erste Halt bei dem man evt. wieder was gutmachen kann. Manche Züge brauchen sie darum erst gar nicht pünktlich loszuschicken weil sonst stehen sie dann irgendwo 5 min in der Prärie rum bevor sie wieder weiter können.
Des weiteren sind vermutlich auch gar nicht alle Kreuzungsstellen Fahrplankompatibel.
Nüllischnee
Beiträge: 279
Registriert: 25.11.2023, 15:56
Skitage 20/21: 112
Skitage 21/22: 61
Skitage 22/23: 41
Skitage 23/24: 137
Skitage 24/25: 61
Skitage 25/26: 50
Fahrertyp: Alpinski
Wohnort: Bern
Land: Schweiz
Hat sich bedankt: 17 Mal
Danksagung erhalten: 847 Mal

Re: Andermatt - Disentis: Auf den Spuren der verspäteten Züge der MGB

Beitrag von Nüllischnee »

ski-chrigel hat geschrieben: 31.07.2024, 14:03 Wenn es so einfach wäre, wieso haben es die MGB nicht schon längst umgesetzt?
Über die konkreten Gründe kann ich nur mutmassen. Vielleicht liegt es an der Wendezeit in Andermatt. Irrtum vorbehalten, wird dort im Sommerhalbjahr ohne Resevezug gewendet. Der Fahrplan muss natürlich ganzjährig funktionieren. Vielleicht hat der Einsatz der neuen Züge doch einen nennenswerten Einfluss, sodass es früher zeitlich gar nicht aufging mit meinem Konzept.

Gruss aus der MOB, die offenbar ein ähnliches Konzept wie die MGB hat. Wir haben nun Saanenmöser mit +7.5 Minuten verlassen, in Zweisimmen sollten wir gemäss Auskunft nahezu pünktlich sein bzw. zumindest der 4-Minuten-Anschluss wird problemlos funktionieren. Nachtrag: Ankunft in Zweisimmen erfolgt mit +1 Minute.
Winter 2024/25: 61 Skitage (10×Andermatt-Sedrun, 8×Saas-Fee, je 5×Adelboden-Lenk, Flumserberg, je 3×Pizol, Paradiski, Lauchernalp, 4 Vallées, je 2×Gurgl, Zermatt, Disentis, Engelberg, Unterbäch-Eischoll, La Rosière/La Thuile, Villars-Les Diablerets, Arosa-Lenzerheide, je 1×Sölden, Grimentz-Zinal, Moosalp, Visperterminen, Saas-Almagell, Leukerbad, St-Luc/Chandolin, Glacier 3000, Davos-Klosters)
Winter 2023/24: 137 Skitage, Winter 2022/23: 41 Skitage; Winter 2021/22: 61 Skitage; Winter 2020/21: 112 Skitage
Benutzeravatar
Skipapi
Beiträge: 176
Registriert: 27.11.2023, 12:15
Skitage 20/21: 0
Skitage 21/22: 0
Skitage 22/23: 0
Skitage 23/24: 0
Fahrertyp: Alpinski
Land: Schweiz
Hat sich bedankt: 369 Mal
Danksagung erhalten: 659 Mal

Re: Andermatt - Disentis: Auf den Spuren der verspäteten Züge der MGB

Beitrag von Skipapi »

https://www.gr.ch/DE/institutionen/verw ... ahren.aspx
Im Rahmen des Fahrplanverfahrens kann jedermann Vorschläge einbringen. Unterbreite Deine Idee doch dort.
Online
Benutzeravatar
ski-chrigel
Beiträge: 6242
Registriert: 23.11.2023, 23:37
Skitage 20/21: 150
Skitage 21/22: 140
Skitage 22/23: 122
Skitage 23/24: 125
Skitage 24/25: 132
Skitage 25/26: 116
Fahrertyp: Kombi
Wohnort: Emmetten
Land: Schweiz
Hat sich bedankt: 8010 Mal
Danksagung erhalten: 17418 Mal

Re: Andermatt - Disentis: Auf den Spuren der verspäteten Züge der MGB

Beitrag von ski-chrigel »

Heute ist die Fahrplanstabilität wieder mal unterirdisch schlecht. 17min Verspätung schon am Vormittag. Aber heute war dies zu meinen Gunsten:
viewtopic.php?p=30935#p30935
2025/26:116Tg:26xKlewen,23xLaax,8xSölden,7xSella,6xIschgl,6xZ’matt,5xTux,4xA‘matt,3xTitlis,3xSiMo,2xEngadin,2xStubai,2xPitz,1xFrutt,1xKauni,1xGurgl,1xFee,1x3Zinnen,1xKronplatz,1xLatemarCermis,1xCarezza,1xPaganella,1xCampiglio,1xPejoTonale,1xBormio,1xLivigno,1xGargellen,1xGolm,1xArlberg,1xWipptal,1xJochtal,1xAirolo
2024/25:132Tg:22xLaax,21.5xKlewen,13xDolo,12xH’tux,11xA‘matt,9xZ’matt,3.5xIschgl,3xKauni,3xDavos,3xPitz,3xStelvio,3xTignes,2xSölden,2xALH,2xVals,2xPenken,2xStubai,1.5xNassfeld,1xPizol,1xGurgl,1xFee,1xSFL,1xOsttirol,1xSHLF,1xSkiwelt,1xNauders,1xÖtzKüh,1xPaganella,1xFrutt,0.5xScuol,0.5xM365,0.5xFlumsi,1xSkitour
2023/24:125 2022/23:121 2021/22:140 2020/21:150 2019/20:101 2018/19:129 2017/18:143 2016/17:127 2015/16:129 2014/15:121 2013/14:65 2012/13:48 2011/12:62 2010/11:83
➡️ Mein Challenge Profil
Benutzeravatar
Wooly
Beiträge: 463
Registriert: 24.11.2023, 22:02
Skitage 20/21: 33
Skitage 21/22: 15
Skitage 22/23: 42
Skitage 23/24: 35
Skitage 24/25: 42
Fahrertyp: Tourenski
Wohnort: Baden-Baden
Land: Deutschland
Hat sich bedankt: 63 Mal
Danksagung erhalten: 506 Mal

Re: Andermatt - Disentis: Auf den Spuren der verspäteten Züge der MGB

Beitrag von Wooly »

Kuckuck ....
Benutzeravatar
Skipapi
Beiträge: 176
Registriert: 27.11.2023, 12:15
Skitage 20/21: 0
Skitage 21/22: 0
Skitage 22/23: 0
Skitage 23/24: 0
Fahrertyp: Alpinski
Land: Schweiz
Hat sich bedankt: 369 Mal
Danksagung erhalten: 659 Mal

Re: Andermatt - Disentis: Auf den Spuren der verspäteten Züge der MGB

Beitrag von Skipapi »

https://www.suedostschweiz.ch/wirtschaf ... nd-antwort
Der CEO der MGB Egon Gsponer im Interview: "Die Kreuzungsstelle Tscheppa (zwischen Bugnei und Mumpé Tujetsch) nehmen wir mit dem Fahrplanwechsel in diesem Dezember in Betrieb. Sie ermöglicht uns (...) Zeitreserven besser im Netz zu verteilen. Die Stabilität des Fahrplans wird deutlich verbessert und Verspätungen lassen sich besser aufholen. Der Betrieb wird (..)pünktlicher werden."
Folgende Benutzer bedankten sich beim Autor Skipapi für den Beitrag (Insgesamt 3):
hitparadeDedesemaski-chrigel
Benutzeravatar
Dedesema
Beiträge: 495
Registriert: 03.12.2023, 16:56
Skitage 20/21: 14
Skitage 21/22: 26
Skitage 22/23: 25
Skitage 23/24: 28
Skitage 24/25: 31
Skitage 25/26: 33
Fahrertyp: Alpinski
Wohnort: Solingen
Land: Deutschland
Hat sich bedankt: 8618 Mal
Danksagung erhalten: 1029 Mal

Re: Andermatt - Disentis: Auf den Spuren der verspäteten Züge der MGB

Beitrag von Dedesema »

Also ich persönlich finde so 15 Minuten Verspätung in Dieni um 16:25 pünktlicher Abfahrt sehr angenehm, da sich so eine weitere Runde der Talabfahrt ausgeht ;)
Aber da bin ich wohl eher die Rarität…
Du fragst dich, was der Sinn des Lebens ist?
Skifahren!
Buckelpisten: Eine Skigebiets-Wirtschaftssimulation!
Challange-Profil
Nüllischnee
Beiträge: 279
Registriert: 25.11.2023, 15:56
Skitage 20/21: 112
Skitage 21/22: 61
Skitage 22/23: 41
Skitage 23/24: 137
Skitage 24/25: 61
Skitage 25/26: 50
Fahrertyp: Alpinski
Wohnort: Bern
Land: Schweiz
Hat sich bedankt: 17 Mal
Danksagung erhalten: 847 Mal

Re: Andermatt - Disentis: Auf den Spuren der verspäteten Züge der MGB

Beitrag von Nüllischnee »

Mit dem Fahrplanwechsel per Sonntag, 14. Dezember 2025 gibt es doch etwas grössere Anpassungen beim Fahrplan zwischen Andermatt und Disentis:

Fahrtrichtung Disentis - Andermatt
Die Abfahrt in Disentis erfolgt eine Minute später (xx:15 statt xx:14), dafür wird Andermatt bereits eine Minute früher erreicht (xx:21 statt xx:22). Unterwegs werden die Fahrzeitreserven deutlich stärker auf die Strecke verteilt. Bislang waren diese v.a. zwischen Nätschen und Andermatt hinterlegt. Das führt u.a. zu folgenden Verschiebungen: Sedrun (31 => 33), Dieni (36 => 40), Oberalppass (53 => 59).

Fahrtrichtung Andermatt - Disentis
Die Abfahrt in Andermatt erfolgt zehn (!) Minuten später (xx:38 statt xx:28), Disentis wird sechs Minuten später (xx:45 statt xx:39) erreicht. Unterwegs verschieben sich die Haltezeiten ebenfalls: Nätschen (37 => 49), Oberalppass (50 => 01), Dieni (10 => 18) und Sedrun (16 => 23).

Im Übrigen verkehren als halbstündliche Verdichtung zwischen Ilanz und Dieni ab Fahrplanwechsel Postautos, sodass kombiniert mit Bahn und Bus ein durchgehender Halbstundentakt Zürich - Chur - Ilanz - Dieni entsteht.
Folgende Benutzer bedankten sich beim Autor Nüllischnee für den Beitrag:
Dedesema
Winter 2024/25: 61 Skitage (10×Andermatt-Sedrun, 8×Saas-Fee, je 5×Adelboden-Lenk, Flumserberg, je 3×Pizol, Paradiski, Lauchernalp, 4 Vallées, je 2×Gurgl, Zermatt, Disentis, Engelberg, Unterbäch-Eischoll, La Rosière/La Thuile, Villars-Les Diablerets, Arosa-Lenzerheide, je 1×Sölden, Grimentz-Zinal, Moosalp, Visperterminen, Saas-Almagell, Leukerbad, St-Luc/Chandolin, Glacier 3000, Davos-Klosters)
Winter 2023/24: 137 Skitage, Winter 2022/23: 41 Skitage; Winter 2021/22: 61 Skitage; Winter 2020/21: 112 Skitage
Online
Benutzeravatar
ski-chrigel
Beiträge: 6242
Registriert: 23.11.2023, 23:37
Skitage 20/21: 150
Skitage 21/22: 140
Skitage 22/23: 122
Skitage 23/24: 125
Skitage 24/25: 132
Skitage 25/26: 116
Fahrertyp: Kombi
Wohnort: Emmetten
Land: Schweiz
Hat sich bedankt: 8010 Mal
Danksagung erhalten: 17418 Mal

Re: Andermatt - Disentis: Auf den Spuren der verspäteten Züge der MGB

Beitrag von ski-chrigel »

Da bin ich ja mal gespannt, ob die Verschiebungen einen positiven Einfluss auf die meines Empfindens chronischen Verspätungen haben.
2025/26:116Tg:26xKlewen,23xLaax,8xSölden,7xSella,6xIschgl,6xZ’matt,5xTux,4xA‘matt,3xTitlis,3xSiMo,2xEngadin,2xStubai,2xPitz,1xFrutt,1xKauni,1xGurgl,1xFee,1x3Zinnen,1xKronplatz,1xLatemarCermis,1xCarezza,1xPaganella,1xCampiglio,1xPejoTonale,1xBormio,1xLivigno,1xGargellen,1xGolm,1xArlberg,1xWipptal,1xJochtal,1xAirolo
2024/25:132Tg:22xLaax,21.5xKlewen,13xDolo,12xH’tux,11xA‘matt,9xZ’matt,3.5xIschgl,3xKauni,3xDavos,3xPitz,3xStelvio,3xTignes,2xSölden,2xALH,2xVals,2xPenken,2xStubai,1.5xNassfeld,1xPizol,1xGurgl,1xFee,1xSFL,1xOsttirol,1xSHLF,1xSkiwelt,1xNauders,1xÖtzKüh,1xPaganella,1xFrutt,0.5xScuol,0.5xM365,0.5xFlumsi,1xSkitour
2023/24:125 2022/23:121 2021/22:140 2020/21:150 2019/20:101 2018/19:129 2017/18:143 2016/17:127 2015/16:129 2014/15:121 2013/14:65 2012/13:48 2011/12:62 2010/11:83
➡️ Mein Challenge Profil
Antworten

Zurück zu „Allgemeine Diskussionen über Skigebiete“